河北省人大常委会主管 《公民与法治》杂志社主办
本网站投稿信箱:yzdb@163.com  本站违法和不良信息举报电话:0311-87803958
  当前的位置:燕赵人民代表网>>拍卖公告>>沧州市新华区御宇国际城项目B区业务用房租赁权拍卖会
沧州市新华区御宇国际城项目B区业务用房租赁权拍卖会
发布时间:2026-2-3 17:25:21   来源:燕赵人民代表网
【字体: 】     打印

受委托,我公司定于2026年2月10日10时在河北省公共资源大厦通过冀政政务服务拍卖平台(http://www.jizheng.org.cn/TPBidder-cs/tbrweb/index)以网络拍卖方式对标的物进行公开拍卖。

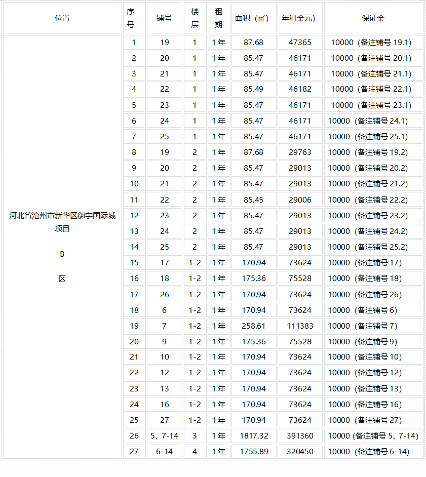
一、标的物基本情况

二、竞买人资格及要求

1.符合国家法律、法规资格要求且信誉良好的具有独立法人资格的企业、个体工商户以及自然人。

2.具有良好的商业信誉、商业道德,有依法交纳税收和社会保障资金的良好记录,近3年没有发生有一定社会影响的经济纠纷。(需提供承诺函,格式自拟)

3.本次拍卖不接受联合体竞拍。

三、展示时间、地点

自2026年2月5日-2月6日(工作时间)在标的物所在地进行展示。

四、竞买保证金缴纳及报名截止时间

竞买人请于2026年2月6日17时前将竞买保证金通过银行账户汇入指定账户(以到账时间为准),持有效证件原件及复印件(营业执照、法人身份证明、法人身份证、法定代表人授权委托书、受托人身份证、公章)到我公司办理竞买报名手续并签署相关文件,逾期缴纳竞买保证金及提交报名文件,拍卖人将拒绝接收。

竞买保证金账户

账户名称:河北大众拍卖有限责任公司

开 户 行:华夏银行石家庄分行营业部

账 号:4730 8800 0181 9100 0211 22

五、联系方式及地址

联系电话:王先生 15203315765

联系地址:河北省石家庄市新华区石清路9号1517室

河北大众拍卖有限责任公司

2026年2月3日

责编:李宏鹏